聚酰亚胺基复合材料涂层
一、成果简介
聚酰亚胺(PI)是一种特殊的工程塑料,广泛应用于航空航天、汽车工业、机械部件、石油化工等领域。然而,PI用于摩擦构件时,高速滑动易引起材料表面发生摩擦升温降解和塑性变形,进而导致高磨损致使材料性能下降。因此本成果通过在Ti3C2Tx片间层中嵌入SiO2,制备了Ti3C2Tx- SiO2复合固体润滑剂,并将其与聚酰亚胺(PI)复合得到一种新型高性能复合耐磨材料。其中Ti₃C₂Tx作为一种MXene材料,凭借其二维结构和优异的摩擦学特性,可通过静电作用与PI形成强有力的结合,显著提高复合材料的抗磨损能力和自润滑性能; 同时SiO2的引入不仅可进一步增大MXene层间距,促进片层的剥离和转移,还增强了复合材料的硬度和热稳定性,改善了界面结合力,使得复合材料在高温和严苛环境下保持优异性能。在与传统材料相比时,SiO₂-Ti₃C₂Tx/PI复合材料在耐磨性上有显著提升,且能够在更高温度下保持良好的物理化学稳定性。

图1.复合涂层制备流程

图2.MXene-SiO2的扫描电镜图
二、应用领域
新材料领域、涂层技术领域
三、市场前景
摩擦涉及到石油化工、航空航天、汽车部件等领域,如轴承、齿轮、制动器和活塞环等。然而,大多数摩擦为不利摩擦,这不仅会造成能源浪费,使经济效益低下,而且机器高强度工作运作也会产生磨损现象,造成设备使用寿命缩短、生产能力下降等问题,严重的会导致安全事故的发生。据报道,每年因摩擦产生的能源损耗约占全球一次能源的1/3,因此,研究一种使用寿命长的固体复合材料具有重要的经济价值和社会效益。
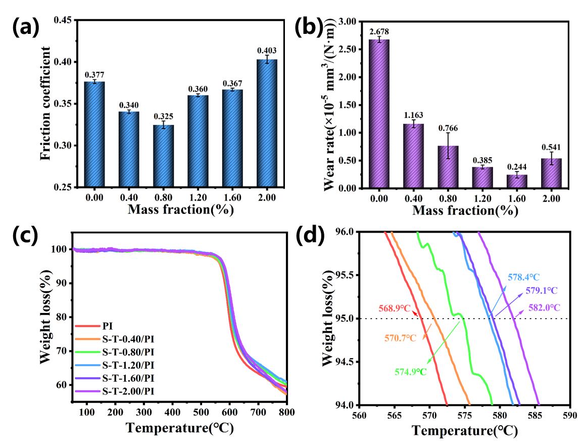
本成果所制备的聚酰亚胺基复合材料涂层结合了聚酰亚胺的高耐温性与SiO₂、Ti₃C₂Tx的协同强化作用,展现出良好的耐磨、耐高温和自润滑性能。在Ti3C2Tx-Si02添加量为1.6wt%时, 复合涂层的平均磨损率最低,比纯PI降低90.89%,比同比例的Si02-PI降低45.05%,说明MXene与SiO2协同作用,共同提高了复合材料的耐磨性;同时该复合涂层的制备通过溶液混合和热固化处理实现,具有良好的加工性和应用前景。该复合涂层优异的综合性能既可以保持聚合物原有的耐高温特性,同时兼具润滑性能,降低因摩擦产生的能量和物质损失,使其广泛适用于高温、高负荷及高摩擦环境下的汽车、航空、航天等领域,具有巨大的市场潜力。

图3.复合材料的摩擦系数、磨损率及热失重曲线
四、知识产权
1、成果由永利yl23411单独持有;
2、本成果已授权发明专利。
五、合作方式
技术许可、合作开发、技术服务和咨询、技术转让等。
六、对接方式
(1)合作意向方联系北理工技术转移中心;
(2)北理工技术转移中心沟通了解意向方情况;
(3)会同成果完成团队与意向方共同研讨合作方案。
永利yl23411技术转移中心
电话:010-68914920
邮箱:bitttc@bit.edu.cn
网址:ttc.bit.edu.cn
未经授权,请勿转载
