科技成果
科研动态
-
北理工课题组在高维纠缠量子全息和图像安全加密...2023-02-07 -
北理工团队在过渡金属氢氧化物超快速制备方面取...2023-02-01 -
北理工团队在水系锌离子电池领域取得重要进展2023-02-01 -
北理工课题组在锂电池超级快充和低温电池的电解...2023-02-01 -
北理工团队在高效二氧化碳还原领域取得研究进展2022-12-30 -
北理工团队在等离激元增强光催化研究中取得进展2022-12-30 -
永利yl23411团队与合作者揭示薄层MnBi4T...2022-12-30 -
北理工教师在国际顶级翻译学期刊发表高水平研究...2022-12-30 -
北理工教师在事件结构的语言与认知方面取得研究...2022-12-30 -
北理工团队发表关于水凝胶微机器人的研究成果2022-12-30 -
北理工教师在高比能硫化物固态电池正极界面方面...2022-12-15 -
北理工教授主持的国家自然科学基金委重点国际(...2022-12-15 -
北理工团队在构筑基于区域规整异三卤化端基的高...2022-12-15 -
北理工课题组在基于室温固态微波激射技术的量子...2022-12-15 -
北理工在《Nature》《Science》连...2022-12-15 -
北理工课题组在金属锂电池安全改善方面取得研究...2022-11-30 -
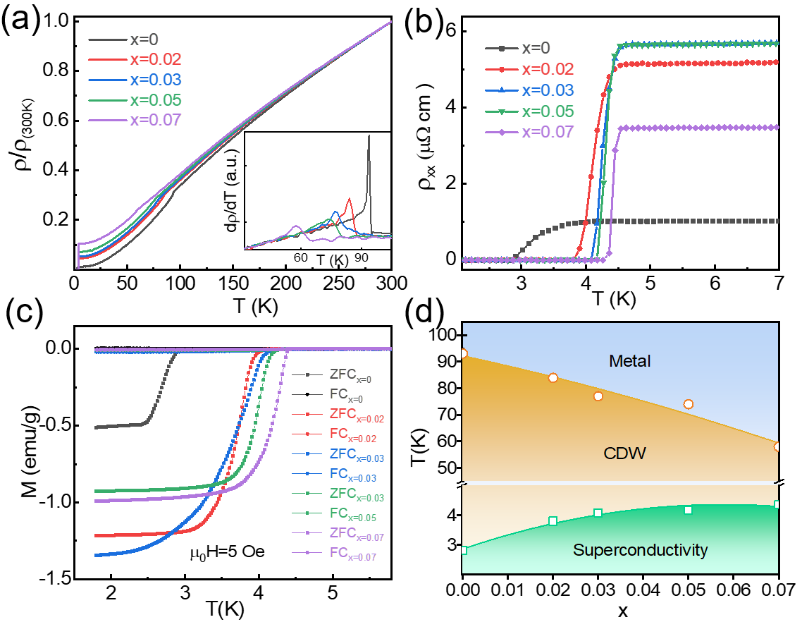
北理工团队在Kagome超导研究中取得重要进...2022-11-30 -
北理工团队发表关于光电镊的研究成果2022-11-30 -
北理工团队发表阴离子配位导向的超分子组装综述...2022-11-11 -
北理工团队在转角石墨烯体系的二阶非线性霍尔输...2022-11-11 -
北理工课题组在微流控芯片高内涵分子筛选实现多...2022-11-11
