北理工在室温超导研究方面取得重要进展
近期,永利yl23411物理学院姚裕贵教授课题组与罗彻斯特大学Ranga P. Dias副教授(室温超导实验发现者)、伊利诺伊大学芝加哥分校Russell J. Hemley教授(高压专家、美国院士)以及其他理论学者开展合作,利用第一性原理计算方法,在2015年掺杂H3S的工作基础上进一步系统地研究了碳和硅掺杂对H3S超导电性的影响,并初步理解了该材料发生室温超导现象的原因,认可近期实验合成的室温超导材料可能就是2015年姚裕贵等理论上所预言的掺杂材料,该工作发表在Materials Today Physics 15, 100330 (2020)。
自1911年发现汞的零电阻现象开始,室温超导一直是凝聚态物理和材料科学领域追求的圣杯。在BCS超导理论中,晶格振动会导致电子间出现有效吸引作用,最终使得费米面处的电子通过电声耦合形成库伯对,从而产生具有零电阻和完全抗磁性的超导电性,超导性一般仅能在低温发生。物理学家Neil Ashcroft 曾预言超高压强下金属氢中质量轻和半径小的氢原子可以增强电声耦合并实现室温超导,但实验上一直没有实现!随后人们提出富氢化合物有可能在高压条件下更容易实现超导电性。沿着该思路,随着第一性原理计算模拟预测和钻石对顶砧实验技术的广泛应用,富氢化合物相关研究取得了突破性进展并发现了大量高压超导材料,例如CaH6、GeH4、MgH6、YH6、SiH4、SiH4(H2)2等。在这一系列激烈竞赛中,国内科研人员作出了众多重要的研究成果。2014年吉林大学马琰铭课题组和崔田课题组理论预测了高压硫氢化合物的超导电性,次年德国实验组在该体系中首次发现高于200 K的超导现象。2015年,永利yl23411姚裕贵课题组首先理论指出掺杂的H3S在250 GPa下完全可以实现280 K即室温超导的目标[Phys. Rev. B 93, 224513 (2016)]。同年《自然》杂志撰写新闻介绍超导领域首个重要成果时,重点叙述了该理论预测工作,见[Nature 524, 277 (2015)]。随后,2019年理论预测和实验结合发现笼型富氢化物LaH10,再次将相变温度推高至260 K,其中物理所赵忠贤课题组在高压LaH10实验上也取得重要研究成果。2020年10月,罗彻斯特大学Ranga P. Dias课题组实验发现H-S-C化合物在267 GPa下的相变温度达到288 K,由此开启了室温超导时代 [Nature 586, 373 (2020)]。但是,尚未确定的晶体结构以及合适的理论分析仍是亟待解决的关键问题。而事实上,早在2015年永利yl23411物理学院姚裕贵课题组已经利用第一性原理计算证实Im-3m相H3S经过适当的空穴掺杂(例如磷少量替换硫原子,并指出硅(碳也类似)替换同样有效)可以非常有效的提高费米能级处的电子态密度(DOS)进而增强电声耦合作用,并能实现280 K的高温超导 [Phys. Rev. B 93, 224513 (2016)]。

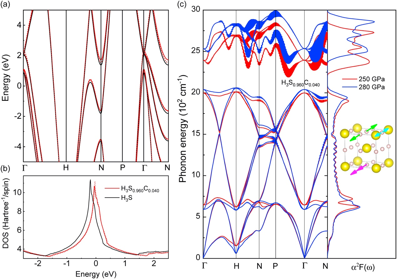
图1 (a)(b) Im-3m相H3S的能带结构和DOS:H3S@220GPa (黑线),H3S0.960C0.040@220GPa (红色实线),H3S0.960C0.040@240GPa (红色虚线)。(c)声子色散谱和Eliashberg谱函数:H3S0.960C0.040@250GPa (红线),H3S0.960C0.040@280GPa (蓝线)。
该系列研究工作发现范霍夫奇点使H3S在费米能级附近具有很高DOS,非常有利于BCS超导电性的出现。而低浓度的空穴掺杂使费米能级更加靠近DOS峰值位置,并且适当加压还可以进一步提高DOS [图1(b)]。通过详细的电声耦合分析发现氢原子振动与电子之间具有很强的耦合作用,如图1(c)中H-S键stretching模式声子的较大线宽所示。

图2 (a) H3S1-xZx @250GPa (Z="""C,""" Si)的DOS和电声耦合常数。(b) H3S0.960Z0.040的DOS、电声耦合常数和超导相变温度。(c)超导相变温度分布图。
在250 GPa下随着碳或硅的掺杂浓度增加,当浓度为4%时费米能级处出现DOS极值 [图2(a)]。并且低掺杂浓度下几乎不变的声子频率导致电声耦合常数和DOS同步变化 [图2(a)]。在200~280 GPa的压强范围内,费米能级处DOS随压强先升高后下降。同时,H-S键stretching模式声子和bending模式的高频声子出现硬化,而H-S键bending模式的低频声子发生软化 [图1(c)]。结合空穴掺杂和压强作用,作者发现260 GPa高压下碳掺杂3.8%的H3S可以实现289 K的室温超导 [图2(c)]。此外,在200~240 GPa内硅掺杂对超导电性的提升效果更加明显。
总之,研究结果显示掺杂调控机制可以进一步提高H3S的超导电性甚至可能达到室温超导,而且不限于碳、硅、磷元素。该系列工作表明掺杂是高压富氢化合物相关实验寻找室温超导的一条有效途径,正在推动相关研究的进一步发展。
北理工2016届博士生盖彦峰为论文的第一作者。该系列研究得到了国家重点研发计划(2020YFA0308800),国家自然科学基金(11734003,11904312)和中国科学院战略重点研究计划(XDB30000000)的支持。
相关文章链接:
